How to Dose Urea in Hyponatremia

 

Urea is commonly used to treat hyponatremia, especially SIADH. Its dose can easily be customized to individual patients:

  1. Urea has a molecular weight of 60. Thus, 15 g amount to 250 mmol.

  2. To calculate the maximum additional volume of electrolyte-free urine due to a urea dose, divide the amount of urea in mmol by the urine osmolality.

    (Given the high oral bioavailability of urea, its generally short half-life and inertness in human metabolism it is probably safe to assume that similar effects are indeed achieved in real life. If not, the calculation gives an overestimation.)

  3. Next, you evaluate the expected change in plasma sodium concentration solely due to this free water excretion by using the Edelman equation with the baseline plasma sodium and an estimate of total body water.

  4. Choose your initial dose according to the desired effect.

The necessary calculations can be done in the calculator above.

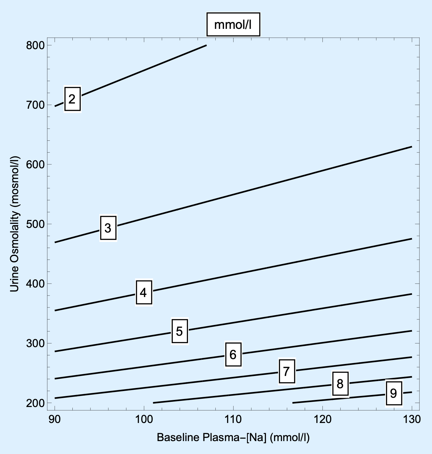
Urine osmolality has a profound influence on the effectiveness of urea in hyponatremia (Figure 1).

 
Figure 1. Contour plot demonstrating the expected increase in plasma-[Na] due to a 30g urea dose as a function of baseline plasma-[Na] (x-axis) and urine osmolality (y-axis). Total body water set at 41.5 liters.

Figure 1. Contour plot demonstrating the expected increase in plasma-[Na] due to a 30g urea dose as a function of baseline plasma-[Na] (x-axis) and urine osmolality (y-axis). Total body water set at 41.5 liters.

 

Although urine osmolality is remarkably constant in many patients with SIADH, that should never be taken for granted. Usual precautions during correction of hyponatremia apply to urea treatment as well.